
先给出中枢谜底:一光年的距离,光其实根底不需要走一年。在光的“视角”里,时辰是完全不存在的,别说跳跃一光年的距离,即便穿越统统可不雅测天地(直径约930亿光年)的宽绰空间,光的传播也不会阔绰分毫时辰。

光,本色上是时空存在的规模,一朝跳跃这个规模,时辰维度便会透彻覆没。咱们日常认识中“光年是光走一年的距离”这一表述,其中的“一年”并非光自身资格的时辰,而是东说念主类在地球参考系中不雅测到的一年——这是领悟统统问题的重要前提,亦然容易被内行污染的中枢误区。
要理清这个问题,就必须从狭义相对论的中枢效应脱手。好多东说念主都传奇过“速率越快,时辰越慢”的说法,但多量东说念主对这一效应的适用范围和本色存在诬告。事实上,时辰荏苒变慢的“时辰膨大效应”,仅适用于速率未达到光速的物体。当物体的畅通速率趋近于光速时,时辰膨大效应会冉冉裸露;而一朝物体真确达到光速,其性质就会发生根人性调动——它将不再是平淡物资,而是转动为光本人,此时期间膨大已不再适用,因为光本人就处于“无时辰”的状况。更紧迫的是,狭义相对论从表面上就含糊了静质地不为零的物资达到光速的可能性,这少许不错通过狭义相对论的质地效应公式了了推导得出。
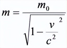
狭义相对论的质地效应公式为:

公式中,m代表物体畅通时的质地(即相对论质地),m₀代表物体静止时的质地(静质地),v代表物体的畅通速率,c则是真空中的光速(约3.0×10⁸m/s)。从公式不丢脸出,当物体的畅通速率v握住趋近于光速c时,分母√(1 - v²/c²)会握住趋近于0,对应的相对论质地m就会趋近于无尽大。这意味着,要推进一个静质地不为零的物体达到光速,需要阔绰无尽大的能量——而咱们所处的天地是有限的,其总能量亦然有限的,根底无法称心这一条目。因此,“静质地不为零的物资无法达到光速”并非主不雅臆断,而是基于严谨数学推导和能量守恒定律的势必论断。
这一论断的中枢基石,是狭义相对论的基本假定之一——光速不变旨趣,即真空中的光速关于任何惯性参考系而言都是一个恒定的常数,不随不雅测者或光源的畅通状况而调动。
光速不变旨趣并非爱因斯坦虚拟建议,其表面根源不错回想到麦克斯韦方程组的推导:麦克斯韦通过联立电磁场方程,推导出电磁波的传播速率为c = 1/√(μ₀ε₀)(其中μ₀为真空磁导率,ε₀为真空介电常数),而这两个物理量都是与参考系无关的常数,因此电磁波的传播速率(即光速)也势必是一个与参考系无关的常数。

在实验层面,光速不变旨趣也历经了无数次考据:从1887老迈克尔逊-莫雷实验的“零效果”,到当代大型粒子对撞机中的实验不雅测,都反复证据了这一旨趣的正确性。举例,在欧洲核子探讨中心的大型强子对撞机中,科学家即便用万亿电子伏特的能量加快质子,质子的速率也只可无限接近光速(约99.9999991%c),恒久无法突破光速的界限——这即是被实验反复考据的“光速附近旨趣”。

之是以铺垫这样多相对论的基础表面,是因为题主的中枢疑问本色上是“东说念主在光速飞船上渡过一年,与地球上渡过一年是否不同”。聚拢上述表面不难判断,这个问题的前提本人就弗成立——因为光速飞船是不可能存在的。退一步讲,即便咱们忽略表面附近,假定飞船果真达到了光速,那么飞船上的东说念主和飞船本人都会转动为光的形态,透彻脱离时空的按捺,此时“时辰”这一办法对他们而言就失去了趣味,当然也就不存在“渡过一年”的说法。好多东说念主会堕入一个认识误区:合计“东说念主相对光速飞船是静止的,是以东说念主在飞船上依然能正常生计,照常吃喝拉撒,感知时辰的荏苒,渡过竣工的一年”。但事实适值相背,这种主见是对相对论和光速本色的严重诬告。
当物体达到光速时,其存在体式就不再属于咱们所处的四维时空(三维空间+一维时辰)。爱因斯坦本东说念主曾经屡次想考“若是东说念主能达到光速,看到的光会是什么款式”,但恒久未能得出谜底——这适值露出,“物体达到光速后的状况”曾经超出了相对论的适用范围。咱们日常所用的“相对畅通”“静止参考系”等办法,都成立在四维时空存在的基础上;而当物体转动为光,脱离时空规模后,这些办法就透彻失效了。有东说念主可能会追问:“把柄相对性旨趣,光联系于东说念主是光速,那么东说念主联系于光是不是也应该是光速?”但这个问题本人就莫得趣味,因为相对性旨趣仅适用于惯性参考系,而光所处的状况并不属于任何惯性参考系的规模,曾经超过了咱们面前对天地时空的认识规模。
至此,题主的中枢问题其实曾经有了明确谜底:一方面,从表面上讲,静质地不为零的飞船无法达到光速,“光速飞船”本人即是一个抵牾相对论的假定;另一方面,即便忽略表面附近假定飞船达到光速,飞船上的东说念主也会转动为光,脱离时辰维度,不存在“渡过一年”的可能。但只是解答这个问题,或许难以称心民众对天地和相对论的猎奇心——因此,咱们不妨将问题蔓延到更具实践趣味的“亚光速”场景中。亚光速(即速率接近光速但未达到光速)是表面上可终了的,亦然天体裁和航天领域中最令东说念主羡慕的探索标的,投注平台其中蕴含的时辰相对性巧妙,远比“光速飞船”的假定更具探讨价值。

只好在亚光速飞船中,时辰才会以正常的体式存在,飞船上的东说念主也才智真确“渡过一年”——况且,从飞船上东说念主的主不雅体验来看,这一年的长度与在地球上渡过一年的主不雅感受完全疏导。这里的重要在于“时辰的相对性”和“同期的相对性”:不同参考系中的不雅察者,对归并事件的时辰测量效果是不同的,这种各别并非测量舛讹,而是时空本人的固有属性。为了更直不雅地领悟这少许,咱们不错举一个具体的例子:半东说念主马座阿尔法星系是距离太阳系最近的恒星系统,其中的比邻星与地球的距离约为4.2光年(即光在地球参考系中需要4.2年才智到达)。假定东说念主类制造出一艘亚光速飞船,以0.99c的速率飞往比邻星,咱们来对比一下地球不雅察者和飞船上宇航员的时辰感知。
从地球不雅察者的视角来看,地球和比邻星都是相对静止的,飞船以0.99c的速率匀速飞向比邻星,跳跃4.2光年的距离,当然需要约4.24年的时辰(计较款式:t = 4.2光年 / 0.99c ≈ 4.24年)。在这一进程中,若是地球不雅察者好像及时不雅测飞船上的情况,会发现一个奇特的表象:飞船上的时钟走得荒谬安然,宇航员的作为也如同慢镜头回放一般——这即是地球参考系中不雅测到的时辰膨大效应。
{jz:field.toptypename/}但从飞船上宇航员的视角来看,情况则完全不同:在宇航员眼中,飞船是静止的,反而是地球和比邻星在以0.99c的速率向相背标的畅通。更紧迫的是,由于“尺缩效应”(狭义相对论的另一中枢效应,即畅通方进取的空间会发生松开),宇航员不雅测到的地球与比邻星之间的距离会大幅裁减——不再是4.2光年,而是约0.59光年(计较款式:l = 4.2光年 × √(1 - 0.99²) ≈ 0.59光年)。因此,以0.99c的速率跳跃0.59光年的距离,宇航员感知到的飞行时辰仅约0.59年(计较款式:t' = 0.59光年 / 0.99c ≈ 0.59年)。
这个例子了了地露出:地球不雅察者眼中的4.24年,与宇航员眼中的0.59年,都是的确的时辰——只是因为两者处于不同的参考系,对归并时空事件的测量效果存在各别。况且,这种时辰各别会跟着飞船速率越接近光速而变得越显赫。若是飞船速率普及到0.9999c,宇航员不雅测到的地球与比邻星距离会进一步松开到约0.06光年,飞行时辰也会裁减到约0.06年(即21.9天);若是速率达到0.999999c,飞行时辰则会裁减到约2.19天。这也就意味着,只消飞船的速率满盈接近光速,宇航员就能在极短的主不雅时辰内,跳跃天地中极其远方的距离——这恰是亚光速旅行的魔力地方。

这里需要十分剖析一个经典的相对论悖论——“双生子佯谬”。好多东说念主会基于上述例子建议疑问:地球不雅察者看到宇航员的时辰变慢,而宇航员也看到地球不雅察者的时辰变慢,这两种不雅测效果是相互矛盾的吗?若是宇航员驾驶亚光速飞船飞行一段时辰后复返地球,到底是宇航员更年青,如故地球上的双胞胎昆玉更年青?

其实,这个悖论的重要在于“参考系的对称性”是否成立。当飞船匀速飞向比邻星时,地球和飞船都是惯性参考系,两者的时辰不雅测效果是相对的,不存在都备的“谁快谁慢”;但若是飞船要复返地球,就必须资格“减慢—掉头—加快”的进程——这一进程中飞船会产生加快度,不再是惯性参考系,从而摧残了之前的对称性。
从相对论的数学推导来看,资格了加快和减慢进程的飞船参考系,当时辰荏苒会真确变慢,这种变慢是都备的。咱们不错通过狭义相对论的时辰膨大公式来精准计较这种各别:

公式中,t'为畅通参考系(飞船)的时辰,t为静止参考系(地球)的时辰,v为飞船的畅通速率,c为光速。从公式不错看出,当v越接近c时,√(1 - v²/c²)越接近0,t'就会远小于t。咱们聚拢之前的例子具体计较:当飞船速率v = 0.99c时,若宇航员在飞船上渡过1年(t' = 1年),则地球上的时辰t = 1年 / √(1 - 0.99²) ≈ 7.089年;当飞船速率v = 0.9999c时,宇航员渡过1年,地球上的时辰约为70.71年;当飞船速率v = 0.999999c时,宇航员渡过1年,地球上的时辰则约为707年。反之,若是咱们已知地球时辰,也不错通过公式计较出飞船上的时辰——比如地球不雅察者看到飞船飞行4.24年到达比邻星,对应的飞船时辰即是4.24年 × √(1 - 0.99²) ≈ 0.59年,与之前的计较效果完全一致。
需要强调的是,无论飞船与地球的时辰各别有多大,两个参考系中不雅察者的“主不雅时辰感受”都是疏导的。关于地球上的东说念主来说,1年即是春去秋来、四季更替的竣工周期;关于飞船上的宇航员来说,1年亦然日出日落(假定飞船有模拟光照系统)、日常作息的竣工周期——他们无法平直感知到对方参考系中的时辰荏苒各别,只可通过测量器用才智发现这种时空的相对性。这也适值印证了相对论的中枢不雅点:时辰和空间并非都备不变的存在,而是相互关连、不错相互转动的,其测量效果依赖于不雅测者的畅通状况。
回到率先的问题,咱们不错再次梳理了了逻辑链条:一光年的距离,光之是以不需要走一年,是因为光处于时空规模,不存在时辰维度;而咱们说“光年是光走一年的距离”,本色上是地球参考系中的不雅测效果。题主假定的“光速飞船”因抵牾狭义相对论的质地效应旨趣而无法存在;即便忽略表面附近,飞船上的东说念主也会转动为光,失去时辰感知。而在实践可行的亚光速场景中,飞船上的东说念主渡过一年的主不雅感受与地球疏导,但地球参考系中的时辰会大幅拉长,这种各别源于时辰的相对性,且不错通过狭义相对论的时辰膨大公式精准计较。
